Jump to content
View in the app

A better way to browse. Learn more.

Surly Horns

A full-screen app on your home screen with push notifications, badges and more.

To install this app on iOS and iPadOS
  1. Tap the Share icon in Safari
  2. Scroll the menu and tap Add to Home Screen.
  3. Tap Add in the top-right corner.
To install this app on Android
  1. Tap the 3-dot menu (⋮) in the top-right corner of the browser.
  2. Tap Add to Home screen or Install app.
  3. Confirm by tapping Install.
Football ... Basketball ... Baseball ... Other Sports ... Futbol ... 🤫995🤫 ... Gambling ... Movies & TV ... Music ... Hobbies ... Lulz ... Food & Travel ... Daily Texan ... Business & Markets ... Cloak Room ... Help ... For Sale ... Board Discussion ... Advertise... Tailgate Donations

Featured Replies

1 hour ago, Don Johnson said:

 

That infamous high school in Georgia that went on-line after viral photos in the hallway won its first football game 24-7 the other day. School is partially re-opening this week as hybrid model

  • Replies 10.4k
  • Views 702.9k
  • Created
  • Last Reply

Top Posters In This Topic

Most Popular Posts

  • It’s horrible, why did the liberal state run governments let everyone die?  Shameful.  

  • Bob Lives!
    Bob Lives!

    Ignore this crap about personal injury lawsuits from Covid. It isn’t happening. It comes from a place of ignorance and fear, or worse, insurance industry propaganda.   Lawsuits alleging negligent spre

  • Potus also shouldn't be stealing money from the American people, giving no bid contracts for political favors, colluding with enemies to allow the murder of US soldiers, using the military and federal

Posted Images

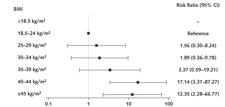
4 hours ago, BrazilHorn said:

From the "Annals of Internal Medicine" - Article around Obesity & Mortality in the Kaiser Permanente System in Socal.

Here is clip from article. Really spikes in terms of higher risk of mortality if your BMI is 40+ (considered severely obese). I used the low end of the higher risk in my post. Ultimately as I mentioned on other board we are in "Nut allergy" phase to me of CV19. If you know you are at risk of dying from CV19 (which the groups that are at higher risk are WELL established at this juncture) you need to enact the needed precautions to manage that risk. This may include not visiting grand children, going out to eat etc etc. Just like if you had a severe nut allergy you'd ensure that when you did go out you were not at risk of dying of it. (you'd verify restaurant doesn't cook with nuts/let airline know you were traveling and so on).

image.png.1c528ed9a49c2fa2347069c9c2138c9d.png

The spread of those confidence intervals makes me think this was a really small n study. 

3 minutes ago, Rudiger said:

The spread of those confidence intervals makes me think this was a really small n study. 

~7000 people. So large enough for sampling type work and one of the largest ones I have seen specifically targeting examination of role obesity plays in CV19 mortality rates.

Definitely opens eyes to need for a much larger, broader study.

Just now, BrazilHorn said:

~7000 people. So large enough for sampling type work and one of the largest ones I have seen specifically targeting examination of role obesity plays in CV19 mortality rates.

Definitely opens eyes to need for a much larger, broader study.

Wow, I thought it was going to be a few hundred. Wonder why the ranges on the CIs?

3 minutes ago, Rudiger said:

Wow, I thought it was going to be a few hundred. Wonder why the ranges on the CIs?

I think due to fact that it is not a homogeneous population but rather the 6917 sample size is spread out across multiple different types of folks that can in effect create this range.

2 minutes ago, BrazilHorn said:

I think due to fact that it is not a homogeneous population but rather the 6917 sample size is spread out across multiple different types of folks that can in effect create this range.

Looks like a good thing I stuck with liberal arts. 

 

Minnesota better follow suit.

We’re a bunch of pansies that are playing boys and girls soccer but not football
Quote

It takes some callous, stupid pieces of shit to downplay it just to watch a bunch of unpaid kids bash their heads into each other. 

So far this year, 26,000 students nationwide have been diagnosed with coronavirus.  ZERO PERCENT of these students have needed hospitalization.  Most were unaware that they had this "deadly virus".

Source? At least one student at Penn State died. 

1 minute ago, 4th&Five said:

Source? At least one student at Penn State died. 

One out of 26,000 would still round to 0%.  Or, you could call it 0.00385%

1 hour ago, BrazilHorn said:

~7000 people. So large enough for sampling type work and one of the largest ones I have seen specifically targeting examination of role obesity plays in CV19 mortality rates.

Definitely opens eyes to need for a much larger, broader study.

ISWYDT

11 minutes ago, 4th&Five said:

Source? At least one student at Penn State died. 

Nope.   This is a perfect example of the national media misreporting and not correcting itself.   The PSU student had left the PSU campus 2 months prior & returned home to Allentown.   2 weeks after testing positive for covid and self quarantining/feeling asymptomatic he died of diabetic ketoacidosis.

15 minutes ago, DenverHorn said:

2 weeks after testing positive for covid and self quarantining/feeling asymptomatic he died of diabetic ketoacidosis.

 Viral illnesses and Type 1 diabetes are bad juju. Flu kills many pediatric Type 1 patients every year. Flu shots really do help this population. Not sure there are many Type 1 college football players though.

19 minutes ago, DenverHorn said:

Nope.   This is a perfect example of the national media misreporting and not correcting itself.   The PSU student had left the PSU campus 2 months prior & returned home to Allentown.   2 weeks after testing positive for covid and self quarantining/feeling asymptomatic he died of diabetic ketoacidosis.

But I won’t be getting up today.....

51 minutes ago, Cornfusion said:

So far this year, 26,000 students nationwide have been diagnosed with coronavirus.  ZERO PERCENT of these students have needed hospitalization.  Most were unaware that they had this "deadly virus".

 

https://www.indystar.com/story/sports/college/indiana/2020/08/14/coronavirus-link-heart-issues-concern-ncaa-student-athletes-indiana-hooisers-covid-19-myocarditis/3374224001/

 

"The story of Indiana offensive lineman Brady Feeney, who was sidelined as medical personnel monitored a potential heart abnormality stemming from COVID-19, has since been mentioned as a cautionary tale by leaders of the Mid-American and Pac-12 conferences. NCAA chief medical officer Brian Hainline said Thursday he knows of a dozen cases of myocarditis, specifically, among NCAA student-athletes, and the NCAA has just updated guidance for institutions on how to screen for the condition."

1 hour ago, Cornfusion said:

So far this year, 26,000 students nationwide have been diagnosed with coronavirus.  ZERO PERCENT of these students have needed hospitalization.  Most were unaware that they had this "deadly virus".

Why'd you put deadly virus in quotations? Are implying that it's not a deadly virus? Because yeah, it is a deadly virus.

6 hours ago, Valmy77 said:

Our track record of correctly diagnosing football issues is bad enough.


But we were right about Greg Davis.

7 minutes ago, touchthemonolith said:

Why'd you put deadly virus in quotations? Are implying that it's not a deadly virus? Because yeah, it is a deadly virus.

I don't consider something deadly unless it's worse than rabies: 

You go camping, and at midday you decide to take a nap in a nice little hammock. While sleeping, a tiny brown bat, in the "rage" stages of infection is fidgeting in broad daylight, uncomfortable, and thirsty (due to the hydrophobia) and you snort, startling him. He goes into attack mode. 

Except you're asleep, and he's a little brown bat, so weighs around 6 grams. You don't even feel him land on your bare knee, and he starts to bite. His teeth are tiny. Hardly enough to even break the skin, but he does manage to give you the equivalent of a tiny scrape that goes completely unnoticed. 

Rabies does not travel in your blood. In fact, a blood test won't even tell you if you've got it. (Antibody tests may be done, but are useless if you've ever been vaccinated.) 

You wake up, none the wiser. If you notice anything at the bite site at all, you assume you just lightly scraped it on something. 

The bomb has been lit, and your nervous system is the wick. The rabies will multiply along your nervous system, doing virtually no damage, and completely undetectable. You literally have NO symptoms. 

It may be four days, it may be a year, but the camping trip is most likely long forgotten. Then one day your back starts to ache... Or maybe you get a slight headache? 

At this point, you're already dead. There is no cure.

(The sole caveat to this is the Milwaukee Protocol, which leaves most patients dead anyway, and the survivors mentally disabled, and is seldom done - see below). 

There's no treatment. It has a 100% kill rate. 

Absorb that. Not a single other virus on the planet has a 100% kill rate. Only rabies. And once you're symptomatic, it's over. You're dead. 

So what does that look like? 

Your headache turns into a fever, and a general feeling of being unwell. You're fidgety. Uncomfortable. And scared. As the virus that has taken its time getting into your brain finds a vast network of nerve endings, it begins to rapidly reproduce, starting at the base of your brain... Where your "pons" is located. This is the part of the brain that controls communication between the rest of the brain and body, as well as sleep cycles. 

Next you become anxious. You still think you have only a mild fever, but suddenly you find yourself becoming scared, even horrified, and it doesn't occur to you that you don't know why. This is because the rabies is chewing up your amygdala. 

As your cerebellum becomes hot with the virus, you begin to lose muscle coordination, and balance. You think maybe it's a good idea to go to the doctor now, but assuming a doctor is smart enough to even run the tests necessary in the few days you have left on the planet, odds are they'll only be able to tell your loved ones what you died of later. 

You're twitchy, shaking, and scared. You have the normal fear of not knowing what's going on, but with the virus really fucking the amygdala this is amplified a hundred fold. It's around this time the hydrophobia starts. 

You're horribly thirsty, you just want water. But you can't drink. Every time you do, your throat clamps shut and you vomit. This has become a legitimate, active fear of water. You're thirsty, but looking at a glass of water begins to make you gag, and shy back in fear. The contradiction is hard for your hot brain to see at this point. By now, the doctors will have to put you on IVs to keep you hydrated, but even that's futile. You were dead the second you had a headache. 

You begin hearing things, or not hearing at all as your thalamus goes. You taste sounds, you see smells, everything starts feeling like the most horrifying acid trip anyone has ever been on. With your hippocampus long under attack, you're having trouble remembering things, especially family. 

You're alone, hallucinating, thirsty, confused, and absolutely, undeniably terrified. Everything scares the literal shit out of you at this point. These strange people in lab coats. These strange people standing around your bed crying, who keep trying to get you "drink something" and crying. And it's only been about a week since that little headache that you've completely forgotten. Time means nothing to you anymore. Funny enough, you now know how the bat felt when he bit you.

Eventually, you slip into the "dumb rabies" phase. Your brain has started the process of shutting down. Too much of it has been turned to liquid virus. Your face droops. You drool. You're all but unaware of what's around you. A sudden noise or light might startle you, but for the most part, it's all you can do to just stare at the ground. You haven't really slept for about 72 hours. 

Then you die. Always, you die. 

And there's not one... fucking... thing... anyone can do for you. 

Then there's the question of what to do with your corpse. I mean, sure, burying it is the right thing to do. But the fucking virus can survive in a corpse for years. You could kill every rabid animal on the planet today, and if two years from now, some moist, preserved, rotten hunk of used-to-be brain gets eaten by an animal, it starts all over.

6 minutes ago, totallynotabuttpirate said:

I don't consider something deadly unless it's worse than rabies: 

You go camping, and at midday you decide to take a nap in a nice little hammock. While sleeping, a tiny brown bat, in the "rage" stages of infection is fidgeting in broad daylight, uncomfortable, and thirsty (due to the hydrophobia) and you snort, startling him. He goes into attack mode. 

Except you're asleep, and he's a little brown bat, so weighs around 6 grams. You don't even feel him land on your bare knee, and he starts to bite. His teeth are tiny. Hardly enough to even break the skin, but he does manage to give you the equivalent of a tiny scrape that goes completely unnoticed. 

Rabies does not travel in your blood. In fact, a blood test won't even tell you if you've got it. (Antibody tests may be done, but are useless if you've ever been vaccinated.) 

You wake up, none the wiser. If you notice anything at the bite site at all, you assume you just lightly scraped it on something. 

The bomb has been lit, and your nervous system is the wick. The rabies will multiply along your nervous system, doing virtually no damage, and completely undetectable. You literally have NO symptoms. 

It may be four days, it may be a year, but the camping trip is most likely long forgotten. Then one day your back starts to ache... Or maybe you get a slight headache? 

At this point, you're already dead. There is no cure.

(The sole caveat to this is the Milwaukee Protocol, which leaves most patients dead anyway, and the survivors mentally disabled, and is seldom done - see below). 

There's no treatment. It has a 100% kill rate. 

Absorb that. Not a single other virus on the planet has a 100% kill rate. Only rabies. And once you're symptomatic, it's over. You're dead. 

So what does that look like? 

Your headache turns into a fever, and a general feeling of being unwell. You're fidgety. Uncomfortable. And scared. As the virus that has taken its time getting into your brain finds a vast network of nerve endings, it begins to rapidly reproduce, starting at the base of your brain... Where your "pons" is located. This is the part of the brain that controls communication between the rest of the brain and body, as well as sleep cycles. 

Next you become anxious. You still think you have only a mild fever, but suddenly you find yourself becoming scared, even horrified, and it doesn't occur to you that you don't know why. This is because the rabies is chewing up your amygdala. 

As your cerebellum becomes hot with the virus, you begin to lose muscle coordination, and balance. You think maybe it's a good idea to go to the doctor now, but assuming a doctor is smart enough to even run the tests necessary in the few days you have left on the planet, odds are they'll only be able to tell your loved ones what you died of later. 

You're twitchy, shaking, and scared. You have the normal fear of not knowing what's going on, but with the virus really fucking the amygdala this is amplified a hundred fold. It's around this time the hydrophobia starts. 

You're horribly thirsty, you just want water. But you can't drink. Every time you do, your throat clamps shut and you vomit. This has become a legitimate, active fear of water. You're thirsty, but looking at a glass of water begins to make you gag, and shy back in fear. The contradiction is hard for your hot brain to see at this point. By now, the doctors will have to put you on IVs to keep you hydrated, but even that's futile. You were dead the second you had a headache. 

You begin hearing things, or not hearing at all as your thalamus goes. You taste sounds, you see smells, everything starts feeling like the most horrifying acid trip anyone has ever been on. With your hippocampus long under attack, you're having trouble remembering things, especially family. 

You're alone, hallucinating, thirsty, confused, and absolutely, undeniably terrified. Everything scares the literal shit out of you at this point. These strange people in lab coats. These strange people standing around your bed crying, who keep trying to get you "drink something" and crying. And it's only been about a week since that little headache that you've completely forgotten. Time means nothing to you anymore. Funny enough, you now know how the bat felt when he bit you.

Eventually, you slip into the "dumb rabies" phase. Your brain has started the process of shutting down. Too much of it has been turned to liquid virus. Your face droops. You drool. You're all but unaware of what's around you. A sudden noise or light might startle you, but for the most part, it's all you can do to just stare at the ground. You haven't really slept for about 72 hours. 

Then you die. Always, you die. 

And there's not one... fucking... thing... anyone can do for you. 

Then there's the question of what to do with your corpse. I mean, sure, burying it is the right thing to do. But the fucking virus can survive in a corpse for years. You could kill every rabid animal on the planet today, and if two years from now, some moist, preserved, rotten hunk of used-to-be brain gets eaten by an animal, it starts all over.

Uh you're a fucking lunatic, bro.

You know what's even more deadly than COVID and rabies? Flying an SR-71 in a combat situation. Trust me, as a former SR-71 pilot, and a professional keynote speaker, the question I'm most often asked is "How fast would that SR-71 fly?" I can be assured of hearing that question several times at any event I attend. It's an interesting question, given the aircraft's proclivity for speed, but there really isn't one number to give, as the jet would always give you a little more speed if you wanted it to. It was common to see 35 miles a minute. Because we flew a programmed Mach number on most missions, and never wanted to harm the plane in any way, we never let it run out to any limits of temperature or speed. Thus, each SR-71 pilot had his own individual “high” speed that he saw at some point on some mission. I saw mine over Libya when Khadafy fired two missiles my way, and max power was in order. Let’s just say that the plane truly loved speed and effortlessly took us to Mach numbers we hadn’t previously seen. So it was with great surprise, when at the end of one of my presentations, someone asked, “what was the slowest you ever flew the Blackbird?” This was a first. After giving it some thought, I was reminded of a story that I had never shared before, and relayed the following.

I was flying the SR-71 out of RAF Mildenhall, England , with my back-seater, Walt Watson; we were returning from a mission over Europe and the Iron Curtain when we received a radio transmission from home base. As we scooted across Denmark in three minutes, we learned that a small RAF base in the English countryside had requested an SR-71 fly-past. The air cadet commander there was a former Blackbird pilot, and thought it would be a motivating moment for the young lads to see the mighty SR-71 perform a low approach. No problem, we were happy to do it. After a quick aerial refueling over the North Sea , we proceeded to find the small airfield. Walter had a myriad of sophisticated navigation equipment in the back seat, and began to vector me toward the field. Descending to subsonic speeds, we found ourselves over a densely wooded area in a slight haze. Like most former WWII British airfields, the one we were looking for had a small tower and little surrounding infrastructure. Walter told me we were close and that I should be able to see the field, but I saw nothing. Nothing but trees as far as I could see in the haze. We got a little lower, and I pulled the throttles back from 325 knots we were at. With the gear up, anything under 275 was just uncomfortable. Walt said we were practically over the field—yet; there was nothing in my windscreen. I banked the jet and started a gentle circling maneuver in hopes of picking up anything that looked like a field. Meanwhile, below, the cadet commander had taken the cadets up on the catwalk of the tower in order to get a prime view of the fly-past. It was a quiet, still day with no wind and partial gray overcast. Walter continued to give me indications that the field should be below us but in the overcast and haze, I couldn't see it.. The longer we continued to peer out the window and circle, the slower we got. With our power back, the awaiting cadets heard nothing. I must have had good instructors in my flying career, as something told me I better cross-check the gauges.

As I noticed the airspeed indicator slide below 160 knots, my heart stopped and my adrenalin-filled left hand pushed two throttles full forward. At this point we weren't really flying, but were falling in a slight bank. Just at the moment that both afterburners lit with a thunderous roar of flame (and what a joyous feeling that was) the aircraft fell into full view of the shocked observers on the tower. Shattering the still quiet of that morning, they now had 107 feet of fire-breathing titanium in their face as the plane leveled and accelerated, in full burner, on the tower side of the infield, closer than expected, maintaining what could only be described as some sort of ultimate knife-edge pass. Quickly reaching the field boundary, we proceeded back to Mildenhall without incident. We didn't say a word for those next 14 minutes. After landing, our commander greeted us, and we were both certain he was reaching for our wings. Instead, he heartily shook our hands and said the commander had told him it was the greatest SR-71 fly-past he had ever seen, especially how we had surprised them with such a precise maneuver that could only be described as breathtaking. He said that some of the cadet’s hats were blown off and the sight of the plan form of the plane in full afterburner dropping right in front of them was unbelievable. Walt and I both understood the concept of “breathtaking” very well that morning, and sheepishly replied that they were just excited to see our low approach. As we retired to the equipment room to change from space suits to flight suits, we just sat there-we hadn't spoken a word since “the pass.” Finally, Walter looked at me and said, “One hundred fifty-six knots. What did you see?” Trying to find my voice, I stammered, “One hundred fifty-two.” We sat in silence for a moment. Then Walt said, “Don’t ever do that to me again!” And I never did. A year later, Walter and I were having lunch in the Mildenhall Officer’s club, and overheard an officer talking to some cadets about an SR-71 fly-past that he had seen one day. Of course, by now the story included kids falling off the tower and screaming as the heat of the jet singed their eyebrows. Noticing our HABU patches, as we stood there with lunch trays in our hands, he asked us to verify to the cadets that such a thing had occurred. Walt just shook his head and said, “It was probably just a routine low approach; they're pretty impressive in that plane.” Impressive indeed. Little did I realize after relaying this experience to my audience that day that it would become one of the most popular and most requested stories. It’s ironic that people are interested in how slow the world’s fastest jet can fly. Regardless of your speed, however, it’s always a good idea to keep that cross-check up…and keep your Mach up, too.

4 hours ago, Don Johnson said:

 

What a bunch of idiots.  Don’t the know the only place you can catch Covid is on the football field.  

32 minutes ago, JFKFC said:

 

Sad but doesn't sound like it was anything football related.

"It is unclear how he contracted the disease. Stephens played in 32 games for California University in his first three seasons. The school was not playing football this fall with COVID-19 health concerns forcing sports to be halted by the Pennsylvania State Athletic Conference."

https://www.usatoday.com/story/sports/ncaaf/2020/09/08/college-football-player-jamain-stephens-dies-covid-complications/5752177002/

3 hours ago, DenverHorn said:

Nope.   This is a perfect example of the national media misreporting and not correcting itself.   The PSU student had left the PSU campus 2 months prior & returned home to Allentown.   2 weeks after testing positive for covid and self quarantining/feeling asymptomatic he died of diabetic ketoacidosis.

Source please

4 hours ago, 4th&Five said:

Source? At least one student at Penn State died. 

Please provide your source first. 

#Big(little)Apple on #BigNoon:

 

18 minutes ago, Knighthawk said:

Please provide your source first. 

You can find hundreds of articles that support what he said with a five second google search.

I can't find a single article that supports DenverHorn's claim.

20 minutes ago, BradInATX said:

You can find hundreds of articles that support what he said with a five second google search.

I can't find a single article that supports DenverHorn's claim.

Yeah I read the google results.  Not very conclusive ... respiratory illness and tested positive for covid.   No other details.   I wouldn’t attribute this to any sort of trend but maybe you can build the story.  

  • Popular Post
Just now, Knighthawk said:

Yeah I read the google results.  Not very conclusive ... respiratory illness and tested positive for covid.   No other details.   I wouldn’t attribute this to any sort of trend but maybe you can build the story.  

Gets Covid

Dies of respiratory illness

"Not very conclusive"

 

You seem kind of fucking stupid.

Came here to look for the game week thread. I must admit it is hard to get exited but the honor should go to an avid long time poster. So if you feel you are one of those guys get it done.

Edited by DanTheHorn

3 minutes ago, BradInATX said:

Gets Covid

Dies of respiratory illness

"Not very conclusive"

 

You seem kind of fucking stupid.

You seem pretty  tuned in to the young man’s situation.   Sounds like the kid was a model of health and was struck down by the evil covid.  Please feel free to post this kids vital stats including BMI and any other health risks.    

So anyway, @DenverHorn, would you mind sourcing your claim that the Penn State student died of diabetic ketoacidosis, please? I cannot find a single reputable source that supports that, and of course I want to give you the benefit of the doubt that you're not being a disingenuous piece of shit.

1 hour ago, BradInATX said:

Source please

PSU family, but you can find comments in articles from his family as well.

ex Steelers son and current Cal U-PA player died today from CV-19.   Surprised nobody heard about this:

https://www.post-gazette.com/news/obituaries/2020/09/08/jamain-stephens-obituary-central-catholic-graduate-steelers-draft-pick/stories/202009080098

 

 

8 minutes ago, BradInATX said:

So anyway, @DenverHorn, would you mind sourcing your claim that the Penn State student died of diabetic ketoacidosis, please? I cannot find a single reputable source that supports that, and of course I want to give you the benefit of the doubt that you're not being a disingenuous piece of shit.

gfy idiot

2 minutes ago, DenverHorn said:

PSU family, but you can find comments in articles from his family as well.

ex Steelers son and current Cal U-PA player died today from CV-19.   Surprised nobody heard about this:

https://www.post-gazette.com/news/obituaries/2020/09/08/jamain-stephens-obituary-central-catholic-graduate-steelers-draft-pick/stories/202009080098

 

 

So you don't have a source for the assertion that the Penn State kid died of something other than what just about every media outlet in the nation reported he died of. You don't need to be spreading that bullshit on here. Keep it on your Facebook next to the flat earth and anti-vax memes.

Edited by BradInATX

Just now, BradInATX said:

So you don't have a source for the Penn State assertion. You don't need to be spreading that bullshit on here. Keep it on your Facebook.

don't be a lazy bitch, you were told where to find it

5 minutes ago, DenverHorn said:

don't be a lazy bitch, you were told where to find it

You come on this board, you have 44 posts, all in politically charged threads, and you make an incredibly stupid claim that when asked for a source,  attempt to support.. using anonymous internet posters on the comments sections of articles. In a world where you can find an "article" that says just about any inane, moronic thought anyone could ever possibly dream, you literally cannot provide a single link to support your claim.

You are either just unbelievably stupid, or a bad actor. There is plenty of good news about Covid going around to where we don't need people like you posting literal fake news and distorting what's actually happening.

Edited by BradInATX

Quote

Why'd you put deadly virus in quotations? Are implying that it's not a deadly virus? Because yeah, it is a deadly virus.

 

Rod Serling.jpg

So with postponed Bailor/La.Tech game that's already 10...

"The Louisiana Tech-Baylor game is the 10th Division I game that has been postponed because of the novel coronavirus, including Big 12 games SMU at TCU and Tulsa at Oklahoma State. The other postponed games are: North Carolina State at Virginia Tech, Temple at Navy, ULM at Troy, Marshall at East Carolina, and three Rice games — against Houston, Marshall and UAB."

Edited by LTtxfan

40 minutes ago, DenverHorn said:

PSU family, but you can find comments in articles from his family as well.

ex Steelers son and current Cal U-PA player died today from CV-19.   Surprised nobody heard about this:

https://www.post-gazette.com/news/obituaries/2020/09/08/jamain-stephens-obituary-central-catholic-graduate-steelers-draft-pick/stories/202009080098

 

 

Can you say he was a current Cal-U PA player when they were not playing football this year and their school is currently all virtual?   Just a question 

1 hour ago, Cornfusion said:

 

Rod Serling.jpg

That is what helps is spread, the fact it can hang out unsymptomatically in people. Sneaky fucking virus. I will be glad when we get our vaccine and this shit is over.

Anyway this thread is depressing as hell. It does kind of explain why I am having a really hard time taking much joy in sports this season despite my best efforts. All the stuff around it is just no fun. So many cancelled games and vicious political fights. Sucks.

Edited by Valmy77

3 hours ago, Cornfusion said:

 

Rod Serling.jpg

Username checks out

8 hours ago, JFKFC said:

 

There they go pushing that agenda that the season is going to be an epic clusterfuck without any evidence.  I was told these guys "struck out swinging" in making such proclamations.

There they go pushing that agenda that the season is going to be an epic clusterfuck without any evidence.  I was told these guys "struck out swinging" in making such proclamations.

I was told there wasn’t going to be a season

Still have to make it three days.

Join the conversation

You can post now and register later. If you have an account, sign in now to post with your account.

Guest
Reply to this topic...
Football ... Basketball ... Baseball ... Other Sports ... Futbol ... 🤫995🤫 ... Gambling ... Movies & TV ... Music ... Hobbies ... Lulz ... Food & Travel ... Daily Texan ... Business & Markets ... Cloak Room ... Help ... For Sale ... Board Discussion ... Advertise... Tailgate Donations

Configure browser push notifications

Chrome (Android)
  1. Tap the lock icon next to the address bar.
  2. Tap Permissions → Notifications.
  3. Adjust your preference.
Chrome (Desktop)
  1. Click the padlock icon in the address bar.
  2. Select Site settings.
  3. Find Notifications and adjust your preference.